欢迎光临:莱耀标准品网!
 您的位置:对照品 > 标准物质 > 铁标准物质 >
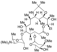
9,11-[imino(1-methylethylidene)oxy]-9-deoxo-11-deoxyerythromycin
产品基本信息
产品编号:I100100
产品名称:9,11-[imino(1-methylethylidene)oxy]-9-deoxo-11-deoxyerythromycin
产品CAS:
规格含量:2.5mg
产品价格:面议
联系我们:
产品详细介绍
标准品编号: I100100
名称: 9,11-[imino(1-methylethylidene)oxy]-9-deoxo-11-deoxyerythromycin
参考CAS号: Mixed isomer: 185838-87-3
分子式: C₄₀H₇₄N₂O₁₂
分子量: 775.02
种类: Standards; Pharmaceutical/API Drug Impurities/Metabolites; Antibotics; Carbohydrates and Oligosaccharides;
应用: 9,11-[imino(1-methylethylidene)oxy]-9-deoxo-11-deoxyerythromycin is an impurity of Dirithromycin (D493000) which is a semi-synthetic derivative of Erythromycin. Antibacterial.
参考文献


2011-2018 信阳莱耀生物科技有限公司 版权所有

中检所标准品,对照品,标准气体
Keywords: 中检所标准品 对照品 标准气体