您的位置:对照品 > 标准物质 > 铁标准物质 > |
|
|
|
| 产品基本信息 |
|
| 产品编号:H952810 |
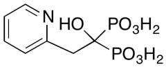
| 产品名称:1-Hydroxy-2-(2-pyridinyl) Risedronate |
| 产品CAS:105462-23-5 |
| 规格含量:50mg |
| 产品价格:面议 |
| 联系我们: |
|
|
|
|
|
| 产品详细介绍 |
| 标准品编号: |
H952810 |
| 名称: |
1-Hydroxy-2-(2-pyridinyl) Risedronate |
| 别名: |
[1-Hydroxy-2-(2-pyridinyl)ethylidene]bisphosphonic Acid; NE 58018; USP Risedronate Related Compound A |
| CAS号: |
105462-23-5 |
| 分子式: |
C₇H₁₁NO₇P₂ |
| 外观: |
白色固体 |
| 熔点: |
>209°C (dec.) |
| 分子量: |
283.11 |
| 储存: |
Hygroscopic, -20°C Freezer, Under inert atmosphere |
| 溶解度: |
Aqueous Base (Slightly) |
| 种类: |
Standards; Pharmaceutical/API Drug Impurities/Metabolites; |
| 应用: |
1-Hydroxy-2-(2-pyridinyl) Risedronate is an impurity in the synthesis of Risedronate (R521505), a pyridinyl biphosphonate bone resorption inhibitor. |
| 参考文献 |
|
|
|
|
|
|
|
|