您的位置:对照品 > 标准物质 > 铁标准物质 > |
|
|
|
| 产品基本信息 |
|
| 产品编号:G601505 |
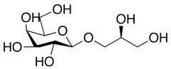
| 产品名称:(2S)-Glycerol-O-β-D-galactopyranoside |
| 产品CAS:38841-15-5 |
| 规格含量:25mg |
| 产品价格:面议 |
| 联系我们: |
|
|
|
|
|
| 产品详细介绍 |
| 标准品编号: |
G601505 |
| 名称: |
(2S)-Glycerol-O-β-D-galactopyranoside |
| 别名: |
(2S)-2,3-Dihydroxypropyl β-D-Galactopyranoside; (S)-2,3-Dihydroxypropyl β-D-Galactopyranoside; 1-O-β-D-Galactopyranosyl-sn-glycerol; |
| CAS号: |
38841-15-5 |
| 分子式: |
C₉H₁₈O₈ |
| 外观: |
白色至浅黄色低熔点固体 |
| 熔点: |
N/A |
| 分子量: |
254.23 |
| 储存: |
冰箱, Under Inert Atmosphere |
| 溶解度: |
Methanol, Water |
| 种类: |
Standards; Lipids/Fatty Acids, Glycerol Derivatives; Carbohydrates and Oligosaccharides; |
| 应用: |
(2S)-Glycerol-O-β-D-galactopyranoside showed the highest inhibitory effect toward tumor promotion. |
| 参考文献 |
|
|
|
|
|
|
|
|