欢迎光临:莱耀标准品网!
 您的位置:对照品 > 标准物质 > 铁标准物质 >
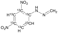
Formaldehyde 2,4-Dinitrophenylhydrazone-13C6
产品基本信息
产品编号:F691403
产品名称:Formaldehyde 2,4-Dinitrophenylhydrazone-13C6
产品CAS:
规格含量:10mg
产品价格:面议
联系我们:
产品详细介绍
标准品编号: F691403
名称: Formaldehyde 2,4-Dinitrophenylhydrazone-13C6
别名: Formaldehyde 2-(2,4-Dinitrophenyl)hydrazone-13C6; Formaldehyde (2,4-Dinitrophenyl)hydrazone-13C6; Methanal 2,4-Dinitrophenylhydrazone-13C6;
参考CAS: 1081-15-8
分子式: C¹³C₆H₆N₄O₄
分子量: 216.1
种类: Standards; Isotopic Labeled Analogues;
应用: Formaldehyde 2,4-Dinitrophenylhydrazone-13C6 is the isotope labeled version of Formaldehyde 2,4-Dinitrophenylhydrazone. Formaldehyde 2,4-Dinitrophenylhydrazone is a dinitrophenylhydrazone (DNPH) derivative of an aliphatic aldehyde found in mainstream cigarette smoke.
参考文献


2011-2018 信阳莱耀生物科技有限公司 版权所有

中检所标准品,对照品,标准气体
Keywords: 中检所标准品 对照品 标准气体