您的位置:对照品 > 标准物质 > 铁标准物质 > |
|
|
|
| 产品基本信息 |
|
| 产品编号:E440150 |
| 产品名称:EGTA |
| 产品CAS:67-42-5 |
| 规格含量:5g |
| 产品价格:面议 |
| 联系我们: |
|
|
|
|
|
| 产品详细介绍 |
| 标准品编号: |
E440150 |
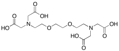
| 名称: |
EGTA |
| 别名: |
1,2-Bis(2-aminoethoxyethane)-N,N,N',N'-tetraacetic Acid; 2,2'-Ethylenedioxybis(ethylamine)-N,N,N',N'-tetraacetic Acid; 3,12-Bis(carboxymethyl)-6,9-dioxa-3,12-diazatetradecanedioic Acid; 3,6-Dioxaoctane-1,8-diamine-N,N,N',N'-tetraacetic Acid; Chelest GEA; EBONTA; EDGA; EGTA; Egtazic Acid; Ethylene Glycol Bis(2-aminoethyl Ether)-N,N,N',N'-tetraacetic Acid; Ethylene Glycol Bis(β-aminoethyl Ether)-N,N,N',N'-tetraacetic Acid; GEDTA; NSC 615010; O,O'-Bis(2-aminoethyl)ethylene Glycol-N,N,N',N'-tetraacetic Acid; [Ethylenebis(oxyethylenenitrilo)]tetraacetic Acid; [Ethylenebis(oxyethylenenitrilo)]tetraacetic Acid |
| CAS号: |
67-42-5 |
| 分子式: |
C₁₄H₂₄N₂O₁₀ |
| 外观: |
白色固体 |
| 熔点: |
>223°C (dec.) |
| 分子量: |
380.35 |
| 储存: |
Room Temperature |
| 溶解度: |
Aqueous Base (Slightly), DMSO (Slightly, Heated), Methanol (Slightly) |
| 种类: |
Research Tools; Pharmaceutical/API Drug Impurities/Metabolites; |
| 应用: |
EGTA is a calcium chelator. EGTA protects mature oligodendrocytes from NO generated by S-nitroso-N-acetyl-penicillamine. |
| 参考文献 |
|
|
|
|
|
|