欢迎光临:莱耀标准品网!
 您的位置:对照品 > 标准物质 > 铁标准物质 >
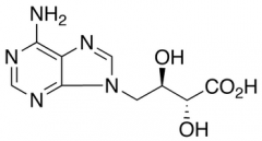
Eritadenine
产品基本信息
产品编号:E600100
产品名称:Eritadenine
产品CAS:23918-98-1
规格含量:5mg
产品价格:面议
联系我们:
产品详细介绍
标准品编号: E600100
名称: Eritadenine
别名: (αR,βR)-6-Amino-α,β-dihydroxy-9H-purine-9-butanoic Acid; 4-(6-Amino-9H-purin-9-yl)-4-deoxy-D-erythronic Acid; 4-(6-Aminopurin-9-yl)-4-deoxy-D-erythronic Acid; Lentinacin; Lentysine; 4-(9-Adenyl)-D-erythro-2,3-dihydroxybutyric Acid; D-Eritadenine;
CAS号: 23918-98-1
分子式: C₉H₁₁N₅O₄
外观: 灰白色至浅褐色固体
熔点: >220°C (dec.)
分子量: 253.21
储存: 冰箱保存
溶解度: Aqueous Acid (Slightly, Heated)
种类: Standards; Enzyme Activators and Inhibitors; Pharmaceutical/API Drug Impurities/Metabolites;
应用: Hypocholesterolemic isolated from shiitake mushrooms, effecting phospholipid and linoleic acid metabolisms. Specifically, Eritadenine is a potent inhibitor of S-adenosyl-L-homocysteine hydrolase (SAHH), decreasing total cholesterol levels in plasma.
参考文献


2011-2018 信阳莱耀生物科技有限公司 版权所有

中检所标准品,对照品,标准气体
Keywords: 中检所标准品 对照品 标准气体