欢迎光临:莱耀标准品网!
 您的位置:对照品 > 标准物质 > 铁标准物质 >
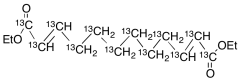
2,​10-​Dodecadienedioic-13C12 Acid 1,​12-​Diethyl Ester
产品基本信息
产品编号:D525607
产品名称:2,​10-​Dodecadienedioic-13C12 Acid 1,​12-​Diethyl Ester
产品CAS:
规格含量:1mg
产品价格:面议
联系我们:
产品详细介绍
标准品编号: D525607
名称: 2,​10-​Dodecadienedioic-13C12 Acid 1,​12-​Diethyl Ester
别名: 2,10-Dodecadienedioic-13C12 Acid Diethyl Ester
参考CAS: 未标记:15898-72-3
分子式: C₄¹³C₁₂H₂₆O₄
外观: Oil
分子量: 294.29
种类: Standards; Isotopic Labeled Analogues; Lipids/Fatty Acids, Glycerol Derivatives;
应用: 2,​10-​Dodecadienedioic-13C12 Acid 1,​12-​Diethyl Ester is an intermediate in the synthesis of Dodecanedioic Acid-13C12 (D494532), labelled Dodecanedioic Acid.
参考文献


2011-2018 信阳莱耀生物科技有限公司 版权所有

中检所标准品,对照品,标准气体
Keywords: 中检所标准品 对照品 标准气体