欢迎光临:莱耀标准品网!
 您的位置:对照品 > 标准物质 > 铁标准物质 >
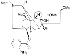
(+)-N-Deacetyllappaconitine
产品基本信息
产品编号:D198640
产品名称:(+)-N-Deacetyllappaconitine
产品CAS:11033-64-0
规格含量:5mg
产品价格:面议
联系我们:
产品详细介绍
标准品编号: D198640
名称: (+)-N-Deacetyllappaconitine
别名: 4-Anthraniloyllappaconine; Deacetyllappaconitine; Desacetyllappaconitine; Lappaconine 4-(2-Aminobenzoate); N-Deacetyllappaconitine; Puberanidine; (1α,14α,16β)-4-(2-Aminobenzoate)-20-ethyl-1,14,16-trimethoxy-aconitane-4,8,9-triol;
CAS号: 11033-64-0
分子式: C₃₀H₄₂N₂O₇
分子量: 542.66
种类: Standards; Pharmaceutical/API Drug Impurities/Metabolites;
应用: (+)-N-Deacetyllappaconitine is a compound similar to (+)-Lappaconitine (L175850), a potential antitumor agent agent that induces HL-60 differentiation and apoptosis with analgesic activity as well.
参考文献


2011-2018 信阳莱耀生物科技有限公司 @ 信阳埃尔文生物科技有限公司版权所有

中检所标准品,对照品,标准气体
Keywords: 中检所标准品 对照品 标准气体