您的位置:对照品 > 标准品 > sigma > |
|
|
|
| 产品基本信息 |
|
| 产品编号:C47H76O16 |
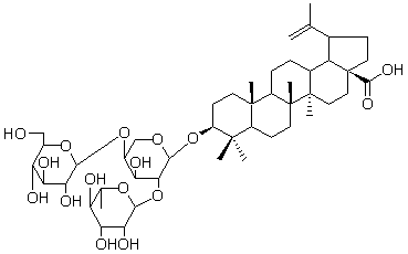
| 产品名称:羽扇豆酸-3-[D-葡萄糖(1→4)[L-鼠李糖)(1→2)-L-阿拉伯糖苷]对照品 |
| 产品CAS:848784-87-2 |
| 规格含量:5mg |
| 产品价格:2980 |
| 联系我们: |
|
|
|
|
|
| 产品详细介绍 |
|
中文名称 |
羽扇豆酸-3-[ D-葡萄糖(1→4)[ L-鼠李糖) (1→2)-L-阿拉伯糖苷]对照品 |
中文别名 |
补充中 |
|
英文名 |
Lup-20(29)-en-28-oic acid, 3-[ D-glucopyranosyl(1→4)[ L-rhamnopyranosyl) (1→2)-L-arabinopyranosyl]oxy], (3,4)-) |
英文别名 |
补充中 |
|
分子式 |
|
C47H76O16 |
分子量 |
897.1 |
CAS登录号 |
848784-87-2 |
|
|
提取来源 |
|
毛莨科植物白头翁Pulsatilla chinensis (Bunge) Regel. |
化学结构 |
|
|
外观 |
|
白色晶体 |
 |
|
NMR; MS |
|
4℃冷藏、密封、避光 |
|
2年 |
|
无 |
|
|
鉴别方法 |
|
贮存条件 |
|
有效期 |
|
注意事项 |
|
溶解性 |
可溶于甲醇、乙腈、乙醇等溶剂,不溶于石油醚。 |
|
测定方法 |
补充中 |
|
药典测定方法 |
补充中 |
|
用途 |
用于含量测定/鉴定/药理实验等 |
|
|
|
|
|