您的位置:对照品 > 标准品 > sigma > |
|
|
|
| 产品基本信息 |
|
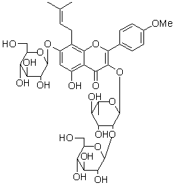
| 产品编号:C39H50O20 |
| 产品名称:朝藿定A(淫羊霍定A)对照品 |
| 产品CAS:110623-72-8 |
| 规格含量:20mg |
| 产品价格:1000 |
| 联系我们: |
|
|
|
|
|
| 产品详细介绍 |
|
中文名称 |
朝藿定A对照品 |
中文别名 |
淫羊霍定A |
|
英文名 |
Epimedin A |
英文别名 |
补充中 |
|
分子式 |
|
C39H50O20 |
分子量 |
838.80 |
CAS登录号 |
110623-72-8 |
|
|
提取来源 |
|
小檗碱科多年生直立草本植物淫羊藿Epimedium brevicornum Maxim.的地上部分。 |
化学结构 |
|
|
外观 |
|
棕黄色结晶粉末 |
 |
|
NMR; MS |
|
4℃冷藏、密封、避光 |
|
2年 |
|
无 |
|
|
鉴别方法 |
|
贮存条件 |
|
有效期 |
|
注意事项 |
|
溶解性 |
补充中 |
|
测定方法 |
HPLC法,以十八烷基硅烷键合硅胶为填料,,流动相A 为乙腈, B 为1%乙酸溶液;梯度洗脱;检测波长为270nm。 洗脱条件:,梯度洗脱(0--15 min,乙腈所占比例为10%~25%;15--38 min,乙腈比例为25%;38--61 min,乙腈比例为25%~71%)。 |
|
药典测定方法 |
补充中 |
|
用途 |
用于含量测定/鉴定/药理实验等 |
|
|
|
|
|