您的位置:对照品 > 标准品 > sigma > |
|
|
|
| 产品基本信息 |
|
| 产品编号:C32H38O19 |
| 产品名称:王不留行黄酮苷(王不留行黄酮甙)对照品 |
| 产品CAS:53452-16-7 |
| 规格含量:20mg |
| 产品价格:700 |
| 联系我们: |
|
|
|
|
|
| 产品详细介绍 |
|
中文名称 |
王不留行黄酮苷对照品 |
中文别名 |
王不留行黄酮甙 |
|
英文名 |
Vaccarin |
英文别名 |
6-(2-O-alpha-L-Arabinopyranosyl-beta-D-glucopyranosyl)-2-[4-(beta-D-glucopyranosyloxy)phenyl]-5,7-dihydroxy-4H-1-benzopyran-4-one |
|
分子式 |
|
C32H38O19 |
分子量 |
726.64 |
CAS登录号 |
53452-16-7 |
|
|
提取来源 |
|
石竹科植物麦蓝菜Vaccaria segetalis(Neck.)Garcke的干燥成熟种子 |
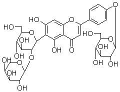
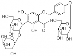
化学结构 |
|
|
外观 |
|
白色结晶 |
 |
|
NMR; MS |
|
4℃冷藏、密封、避光 |
|
2年 |
|
无 |
|
|
鉴别方法 |
|
贮存条件 |
|
有效期 |
|
注意事项 |
|
溶解性 |
易溶于甲醇、甲醇-水、乙醇、乙醇-水等,难溶于氯仿、醋酸乙酯、石油醚等 |
|
测定方法 |
色谱柱ODS,流动相:甲醇-0.3%磷酸溶液为流动相,梯度洗脱,流速,检测波长280 nm |
|
药典测定方法 |
补充中 |
|
用途 |
用于含量测定/鉴定/药理实验等 |
|
|
|
|
|