您的位置:对照品 > 标准品 > sigma > |
|
|
|
| 产品基本信息 |
|
| 产品编号:C39H66O14 |
| 产品名称:知母皂苷I对照品 |
| 产品CAS:163047-21-0 |
| 规格含量:20mg |
| 产品价格:1200 |
| 联系我们: |
|
|
|
|
|
| 产品详细介绍 |
|
中文名称 |
知母皂苷I对照品 |
中文别名 |
无 |
|
英文名 |
Anemarrhenasaponin I |
英文别名 |
无 |
|
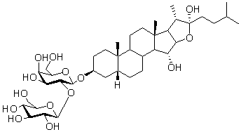
分子式 |
|
C39H66O14 |
分子量 |
758.93 |
CAS登录号 |
163047-21-0 |
|
|
提取来源 |
|
知母Anemarrhena asphodeloides Bunge |
化学结构 |
|
|
外观 |
|
白色粉末 |
 |
|
NMR,MS |
|
4℃冷藏、密封、避光 |
|
2年 |
|
无 |
|
|
鉴别方法 |
|
贮存条件 |
|
有效期 |
|
注意事项 |
|
溶解性 |
微溶于水,溶于DMSO |
|
测定方法 |
甲醇/水=80/20, 35min, 0.8ml/min; ELSD |
|
药典测定方法 |
无 |
|
用途 |
用于含量测定/鉴定/药理实验等 |
|
|
|
|
|