欢迎光临:莱耀标准品网!
 您的位置:对照品 > 标准物质 > 农残标准物质 >
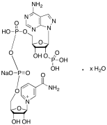
β-Nicotinamide Adenine Dinucleotide Phosphate Sodium Salt Hydrate (~90%)
产品基本信息
产品编号:N407755
产品名称:β-Nicotinamide Adenine Dinucleotide Phosphate Sodium Salt Hydrate (~90%)
产品CAS:1184-16-3
规格含量:50mg
产品价格:面议
联系我们:
产品详细介绍
标准品编号: N407755
名称: β-Nicotinamide Adenine Dinucleotide Phosphate Sodium Salt Hydrate (~90%)
别名: 2'-(Dihydrogen Phosphate) Adenosine 5'-(Trihydrogen Diphosphate) P'→5'-Ester with 3-(Aminocarbonyl)-1-β-D-ribofuranosylpyridinium, Inner Salt Sodium Salt; 2'-(Dihydrogen phosphate) Adenosine 5'-(Trihydrogen Diphosphate) P'→5'-Ester with 3-(Aminocarbonyl)-1-β-D-ribofuranosylpyridinium Inner Salt Sodium Salt; Adenosine 5'-(Trihydrogen Diphosphate), P'→5'-Ester with 3-(Aminocarbonyl)-1-β-D-ribofuranosylpyridinium Inner Salt, 2'-(Dihydrogen Phosphate) Monosodium Salt; NSC 20273; Sodium NADP;
CAS号: 1184-16-3
参考CAS号: Possible Anhydrous: 1184-16-3
分子式: C₂₁H₂₈NaN₇O₁₇P₃ • xH ₂O
外观: 白色固体
熔点: 161-168°C (dec.)
分子量: 766.39
储存: Hygroscopic, -20˚C Freezer, Under Inert Atmosphere
溶解度: Water
种类: Standards; Chiral Molecules; Pharmaceutical/API Drug Impurities/Metabolites;
应用: β-Nicotinamide Adenine Dinucleotide Phosphate Sodium Salt Hydrate is a substrate NADP which plays a role in a variety of metabolic processes.
参考文献


2011-2018 信阳莱耀生物科技有限公司 版权所有

中检所标准品,对照品,标准气体
Keywords: 中检所标准品 对照品 标准气体