您的位置:对照品 > 标准物质 > 农残标准物质 > |
|
|
|
| 产品基本信息 |
|
| 产品编号:N368017 |
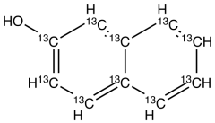
| 产品名称:2-Naphthol-13C10 |
| 产品CAS:1346600-24-5 |
| 规格含量:1mg |
| 产品价格:面议 |
| 联系我们: |
|
|
|
|
|
| 产品详细介绍 |
| 标准品编号: |
N368017 |
| 名称: |
2-Naphthol-13C10 |
| 别名: |
2-Naphthalenol-13C10; 2-Hydroxynaphthalene-13C10; Azogen Developer VIP(LA)13C10; Betanaphthol-13C10; C.I. 37500-13C10; C.I. Developer 5-13C10; Developer VIP(LA)13C10; Developer AMS-13C10; Developer BN-13C10; Developer NVIP(LA)13C10; Isonaphthol-13C10; NSC 2044-13C10; NSC 5737-13C10; Naphthol B-13C10; β-Hydroxynaphthalene-13C10; β-Naphthol-13C10; β-Naphthyl Alcohol-13C10; |
| CAS号: |
1346600-24-5 |
| 参考CAS号: |
135-19-3 |
| 分子式: |
¹³C₁₀H₈O |
| 分子量: |
154.1 |
| 种类: |
Building Blocks; Isotopic Labeled Analogues; |
| 应用: |
Labelled 2-Naphthol (N368015). Has been used as antiseptic, anthelmintic and counter-irritant in alopecia. |
| 危险品: |
Not a dangerous good if item is equal to or less than 1g/ml and there is less than 100g/ml in the package |
| 参考文献 |
|
|
|
|
|
|
|
|