欢迎光临:莱耀标准品网!
 您的位置:对照品 > 标准物质 > 农残标准物质 >
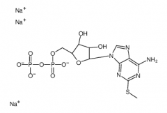
2-Methylthio-ADP Trisodium Salt
产品基本信息
产品编号:M725355
产品名称:2-Methylthio-ADP Trisodium Salt
产品CAS:475193-31-8
规格含量:25mg
产品价格:面议
联系我们:
产品详细介绍
标准品编号: M725355
名称: 2-Methylthio-ADP Trisodium Salt
别名: 2-(Methylthio)adenosine 5'-Diphosphate Trisodium Salt;
CAS号: 475193-31-8
参考CAS号: Free acid: 34983-48-7
分子式: C₁₁H₁₇N₅O₁₀P₂S • 3Na
分子量: 473.2932299
种类: Standards; Chiral Molecules; Pharmaceutical/API Drug Impurities/Metabolites;
应用: 2-Methylthio-ADP trisodium salt is a P2Y1, P2Y12 and P2Y13 agonist. It is used in biological study of activation of P2Y1 P2Y12 and P2Y13 protein promoted purinergic ATP signal transduction mediated calcium flux in podocyte isolated from rat glomerulus.
参考文献


2011-2018 信阳莱耀生物科技有限公司 版权所有

中检所标准品,对照品,标准气体
Keywords: 中检所标准品 对照品 标准气体