欢迎光临:莱耀标准品网!
 您的位置:对照品 > 标准物质 > 农残标准物质 >
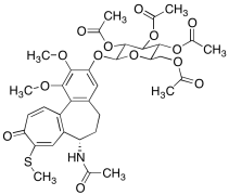
Isothiocolchicoside Tetraacetate
产品基本信息
产品编号:I902760
产品名称:Isothiocolchicoside Tetraacetate
产品CAS:
规格含量:1mg
产品价格:面议
联系我们:
产品详细介绍
标准品编号: I902760
名称: Isothiocolchicoside Tetraacetate
别名: (2S,3R,4S,5R,6R)-2-(((S)-7-Acetamido-1,2-dimethoxy-9-(methylthio)-10-oxo-5,6,7,10-tetrahydrobenzo[a]heptalen-3-yl)oxy)-6-(acetoxymethyl)tetrahydro-2H-pyran-3,4,5-triyl Triacetate;
分子式: C₃₅H₄₁NO₁₄S
分子量: 731.76
溶解度: Dichloromethane, Methanol
种类: Standards; Pharmaceutical/API Drug Impurities/Metabolites; Carbohydrates and Oligosaccharides;
应用: Isothiocolchicoside Tetraacetate is an intermediate in synthesizing Isothiocolcicoside (I902755), which is an impurity of Thiocolchicoside (T344385), a GABA receptor antagonist which is prescribed as a muscle relaxant having analgesic effects.
参考文献


2011-2018 信阳莱耀生物科技有限公司 版权所有

中检所标准品,对照品,标准气体
Keywords: 中检所标准品 对照品 标准气体