欢迎光临:莱耀标准品网!
 您的位置:对照品 > 标准物质 > 农残标准物质 >
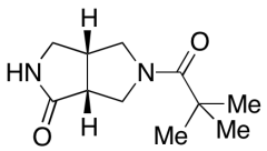
(3aR,6aR)-rel-Hexahydro-4-oxo-pyrrolo[3,4-c]pyrrole-2(1H)-carboxylic Acid 1,1-Dimethylethy
产品基本信息
产品编号:H294015
产品名称:(3aR,6aR)-rel-Hexahydro-4-oxo-pyrrolo[3,4-c]pyrrole-2(1H)-carboxylic Acid 1,1-Dimethylethy
产品CAS:1251003-89-0
规格含量:2.5g
产品价格:面议
联系我们:
产品详细介绍
标准品编号: H294015
名称: (3aR,6aR)-rel-Hexahydro-4-oxo-pyrrolo[3,4-c]pyrrole-2(1H)-carboxylic Acid 1,1-Dimethylethyl Ester
CAS号: 1251003-89-0
分子式: C₁₁H₁₈N₂O₂
分子量: 210.27
种类: Building Blocks; Miscellaneous;
应用: (3aR,6aR)-rel-Hexahydro-4-oxo-pyrrolo[3,4-c]pyrrole-2(1H)-carboxylic Acid 1,1-Dimethylethyl Ester is used in the synthesis of CDK4/6 inhibitors.
参考文献


2011-2018 信阳莱耀生物科技有限公司 版权所有

中检所标准品,对照品,标准气体
Keywords: 中检所标准品 对照品 标准气体