欢迎光临:莱耀标准品网!
 您的位置:对照品 > 标准物质 > 农残标准物质 >
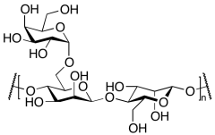
Guar Gum
产品基本信息
产品编号:G844710
产品名称:Guar Gum
产品CAS:9000-30-0
规格含量:10g
产品价格:面议
联系我们:
产品详细介绍
标准品编号: G844710
名称: Guar Gum
别名: 1212A; AS 80; Activsoft S; Aglumix BR; BG 1; Burtonite V 7E; C 1000; C 1000 (gum); C 250; C 250 (gum); CG 70; CP 3300; CSA 200/50; CSVIP(LA)M 175; CSAVIP(LA)M 80; Celbond 7; Celca-Gum D 49D; Cyamopsis gum; DCA 9A; DX 9; Dabisco DHV 74; Dealca P 225; Dealca TP 1; Dealca TP 2; Decorpa; Duck Gum 800; Dycol 4500; E 412; EGMB; Ecopol 5060; Edicol ULV 50; Emcogum CSAA; Emulgum 200; Emulgum 200S; F 21; F 21 (gum); FFH 200; FG 6070; FG-HV; Fine Gum G; Fine Gum G 17; Frimulsion BM; G 50; GR 10; GV 23/2; GW 3; GW 4; GW 45; GW 4AFG; Galactasol; Galactasol 20H5FI; Galactasol 211; Galactasol 270; Galactasol 30M1F; Galactasol 40H4FDS1; Galactasol 60H3FDS; Galaxy 1083; Gendril Thik; Gendriv 162; Grindsted Guar 175; Guapack PF 20; Guapack PN; Guar; Guar 5200; Guar Fiber; Guar Gum FG 6070; Guar Gum GU/F; Guar Gum XS
CAS号: 9000-30-0
分子式: (C₁₈H₃₀O₁₆)n
分子量: -502.42
种类: Standards; Carbohydrates and Oligosaccharides; Natural Products;
应用: Guar gum is a polymeric polysaccharide and a diety fiber, shown to decrease blood cholesterol levels. It is also used in the preparation of polysaccharide hydrogels for modified drug release formulations.
参考文献


2011-2018 信阳莱耀生物科技有限公司 版权所有

中检所标准品,对照品,标准气体
Keywords: 中检所标准品 对照品 标准气体