您的位置:对照品 > 标准物质 > 农残标准物质 > |
|
|
|
| 产品基本信息 |
|
| 产品编号:E947500 |
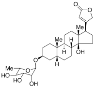
| 产品名称:Evomonoside |
| 产品CAS:508-93-0 |
| 规格含量: |
| 产品价格:面议 |
| 联系我们: |
|
|
|
|
|
| 产品详细介绍 |
| 标准品编号: |
E947500 |
| 名称: |
Evomonoside |
| 别名: |
(3β,5β)-3-[(6-Deoxy-α-L-mannopyranosyl)oxy]-14-hydroxycard-20(22)-enolide; Digitoxigenin 3-Rhamnoside; Digitoxigenin Rhamnoside; Digitoxigenin α-L-Rhamnoside; Digitoxigenin-3β-O-α-L-rhamnopyranoside; |
| CAS号: |
508-93-0 |
| 分子式: |
C₂₉H₄₄O₈ |
| 分子量: |
520.65 |
| 种类: |
Standards; Pharmaceutical/API Drug Impurities/Metabolites; Carbohydrates and Oligosaccharides; Steroids; |
| 应用: |
Evomonoside, a Digitoxigenin analogue was isolated from seeds of L. apetalum, and showed antitumor activity. |
| 参考文献 |
|
|
|
|
|
|