欢迎光临:莱耀标准品网!
 您的位置:对照品 > 标准物质 > 农残标准物质 >
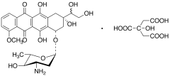
Epirubicinol(Mixture of Diastereomers)
产品基本信息
产品编号:E588655
产品名称:Epirubicinol (Mixture of Diastereomers)
产品CAS:76155-56-1
规格含量:10mg
产品价格:面议
联系我们:
产品详细介绍
标准品编号: E588655
名称: Epirubicinol (Mixture of Diastereomers)
别名: 10-[(3-Amino-2,36,-trideoxy-α-L-arabino-hexopyranosyl)oxy]-8-[(1S)-1,2 -dihydroxyethyl]-7,8,9,10-tetrahydro-6,8,11-trihydroxy-1-methoxy-(8S,10S)-5,12-naphthacenedione Citrate; 13-Dihydroadriamycin Citrate;
CAS号: 76155-56-1
分子式: C₂₇H₃₁NO₁₁
外观: Dark Red Solid
熔点: >120°C (dec.)
分子量: 545.54
储存: -20˚C Freezer
溶解度: DMSO (Slightly)
种类: Standards; Pharmaceutical/API Drug Impurities/Metabolites;
应用: A metabolite of Epirubicin, a neoplasm inhibitor.
参考文献


2011-2018 信阳莱耀生物科技有限公司 版权所有

中检所标准品,对照品,标准气体
Keywords: 中检所标准品 对照品 标准气体