您的位置:对照品 > 标准物质 > 农残标准物质 > |
|
|
|
| 产品基本信息 |
|
| 产品编号:D464832 |
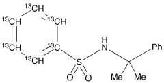
| 产品名称:N-(α,α-Dimethylbenzyl)benzenesulfonamide-13C6 |
| 产品CAS:1287138-19-5 |
| 规格含量:25mg |
| 产品价格:面议 |
| 联系我们: |
|
|
|
|
|
| 产品详细介绍 |
| 标准品编号: |
D464832 |
| 名称: |
N-(α,α-Dimethylbenzyl)benzenesulfonamide-13C6 |
| 别名: |
N-(1-Methyl-1-phenylethyl)benzenesulfonamide-13C6; |
| CAS号: |
1287138-19-5 |
| 参考CAS号: |
类似: 66898-01-9 |
| 分子式: |
C₉¹³C₆H₁₇NO₂S |
| 外观: |
白色固体 |
| 分子量: |
281.32 |
| 溶解性: |
Chloroform, Dichloromethane, Methanol |
| 种类: |
Building Blocks; Isotopic Labeled Analogues; Pharmaceutical/API Drug Impurities/Metabolites; |
| 应用: |
Intermediate in the preparation of labelled Saccharin. |
| 参考文献 |
|
|
|
|
|
|