欢迎光临:莱耀标准品网!
 您的位置:对照品 > 标准物质 > 农残标准物质 >
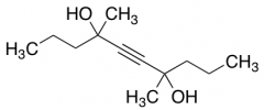
4,7-Dimethyl-5-decyn-4,7-diol
产品基本信息
产品编号:D460988
产品名称:4,7-Dimethyl-5-decyn-4,7-diol
产品CAS:126-87-4
规格含量:100mg
产品价格:面议
联系我们:
产品详细介绍
标准品编号: D460988
名称: 4,7-Dimethyl-5-decyn-4,7-diol
CAS号: 126-87-4
分子式: C₁₂H₂₂O₂
分子量: 198.31
种类: Building Blocks; Miscellaneous;
应用: 4,7-DIMETHYL-5-DECYN-4,7-DIOL (cas# 126-87-4) is a useful research chemical.
参考文献


2011-2018 信阳莱耀生物科技有限公司 版权所有

中检所标准品,对照品,标准气体
Keywords: 中检所标准品 对照品 标准气体