欢迎光临:莱耀标准品网!
 您的位置:对照品 > 标准物质 > 农残标准物质 >
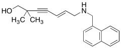
N-Desmethylhydroxyterbinafine
产品基本信息
产品编号:D291870
产品名称:N-Desmethylhydroxyterbinafine
产品CAS:162227-14-7
规格含量:2.5mg
产品价格:面议
联系我们:
产品详细介绍
标准品编号: D291870
名称: N-Desmethylhydroxyterbinafine
别名: (5E)-2,2-Dimethyl-7-[(1-naphthalenylmethyl)amino]-5-hepten-3-yn-1-ol; (E)-2,2-Dimethyl-7-[(1-naphthalenylmethyl)amino]-5-Hepten-3-yn-1-ol
CAS号: 162227-14-7
分子式: C₂₀H₂₃NO
分子量: 293.4
种类: Standards; Pharmaceutical/API Drug Impurities/Metabolites;
应用: N-Desmethylhydroxyterbinafine is the derivative of Hydroxy Terbinafine (H956160), which is a metabolite of Terbinafine, an orally active, antimycotic allylamine related to naftifine. A specfic inhibitor of squalene epoxidase, a key enzyme in fungal ergosterol biosynthesis.
参考文献


2011-2018 信阳莱耀生物科技有限公司 @ 信阳埃尔文生物科技有限公司版权所有

中检所标准品,对照品,标准气体
Keywords: 中检所标准品 对照品 标准气体