欢迎光临:莱耀标准品网!
 您的位置:对照品 > 标准物质 > 农残标准物质 >
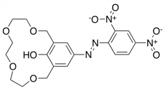
15-Crown-4 4-(2,4-dinitrophenylazo)phenol
产品基本信息
产品编号:C825013
产品名称:15-Crown-4 4-(2,4-dinitrophenylazo)phenol
产品CAS:81238-57-5
规格含量:2mg
产品价格:面议
联系我们:
产品详细介绍
标准品编号: C825013
名称: 15-Crown-4 4-(2,4-dinitrophenylazo)phenol
CAS号: 81238-57-5
分子式: C₂₀H₂₂N₄O₉
分子量: 462.42
类别: Building Blocks; Miscellaneous;
应用: 15-Crown-4 4-(2,4-dinitrophenylazo)phenol (cas# 81238-57-5) is a useful research chemical.
参考文献


2011-2018 信阳莱耀生物科技有限公司 @ 信阳埃尔文生物科技有限公司版权所有

中检所标准品,对照品,标准气体
Keywords: 中检所标准品 对照品 标准气体