欢迎光临:莱耀标准品网!
 您的位置:对照品 > 标准物质 > 计量院标准物质 >
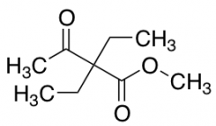
methyl 2,2-diethyl-3-oxobutanoate
产品基本信息
产品编号:M341660
产品名称:methyl 2,2-diethyl-3-oxobutanoate
产品CAS:85153-63-5
规格含量:50mg
产品价格:面议
联系我们:
产品详细介绍
标准品编号: M341660
名称: methyl 2,2-diethyl-3-oxobutanoate
CAS号: 85153-63-5
分子式: C₉H₁₆O₃
分子量: 172.22
种类: Building Blocks; Miscellaneous;
应用: methyl 2,2-diethyl-3-oxobutanoate (cas# 85153-63-5) is a useful research chemical.
参考文献


2011-2018 信阳莱耀生物科技有限公司 版权所有

中检所标准品,对照品,标准气体
Keywords: 中检所标准品 对照品 标准气体