您的位置:对照品 > 标准物质 > 计量院标准物质 > |
|
|
|
| 产品基本信息 |
|
| 产品编号:L330885 |
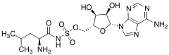
| 产品名称:Leu-AMS |
| 产品CAS:288591-93-5 |
| 规格含量:2.5mg |
| 产品价格:面议 |
| 联系我们: |
|
|
|
|
|
| 产品详细介绍 |
| 标准品编号: |
L330885 |
| 名称: |
Leu-AMS |
| 别名: |
5'-[[(2S)-2-Amino-4-methyl-1-oxopentyl]sulfamate]adenosine; |
| CAS号: |
288591-93-5 |
| 分子式: |
C₁₆H₂₅N₇O₇S |
| 分子量: |
459.48 |
| 种类: |
Standards; Enzyme Activators and Inhibitors; Pharmaceutical/API Drug Impurities/Metabolites; |
| 应用: |
Leu-AMS, is a potent inhibitor of leucyl-tRNA synthetase (LRS) with an IC50 of 22.34 nM and inhibits the growth of bacteria. |
| 参考文献 |
|
|
|
|
|
|