您的位置:对照品 > 标准物质 > 计量院标准物质 > |
|
|
|
| 产品基本信息 |
|
| 产品编号:G625228 |
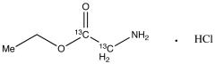
| 产品名称:Glycine-13C2 Ethyl Ester Hydrochloride |
| 产品CAS:1246819-31-7 |
| 规格含量:250mg |
| 产品价格:面议 |
| 联系我们: |
|
|
|
|
|
| 产品详细介绍 |
| 标准品编号: |
G625228 |
| 名称: |
Glycine-13C2 Ethyl Ester Hydrochloride |
| 别名: |
(2-Ethoxy-2-oxoethyl)ammonium-13C2 Chloride; Aminoacetic Acid-13C2 Ethyl Ester Hydrochloride; Ethyl 2-Aminoacetate-13C2 Hydrochloride; Ethyl Aminoacetate-13C2 Hydrochloride; Ethyl Glycinate-13C2 Hydrochloride; Glycine-13C2 Ethyl Ester Monohydrochloride; Glycine-13C2 Hydrochloride Ethyl Ester; |
| CAS号: |
1246819-31-7 |
| 参考CAS号: |
623-33-6-unlabelled; Free Base: 892505-88-3 |
| 分子式: |
C₂¹³C₂H₁₀ClNO₂ |
| 外观: |
白色固体 |
| 分子量: |
141.57 |
| 溶解度: |
Water |
| 种类: |
Standards; Amino Acids; Isotopic Labeled Analogues; |
| 应用: |
A labelled Glycine (G615990) ester used as parakeratosis inhibitor and external composition for skin. |
| 参考文献 |
|
|
|
|
|
|