欢迎光临:莱耀标准品网!
 您的位置:对照品 > 标准物质 > 计量院标准物质 >
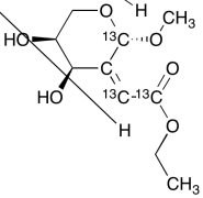
(Z)-Ethyl 2-((2S,4R,5S)-4,5-Dihydroxy-2-methoxydihydro-2H-pyran-3(4H)-ylidene)acetate-13C3
产品基本信息
产品编号:E899222
产品名称:(Z)-Ethyl 2-((2S,4R,5S)-4,5-Dihydroxy-2-methoxydihydro-2H-pyran-3(4H)-ylidene)acetate-13C3
产品CAS:
规格含量:1mg
产品价格:面议
联系我们:
产品详细介绍
标准品编号: E899222
名称: (Z)-Ethyl 2-((2S,4R,5S)-4,5-Dihydroxy-2-methoxydihydro-2H-pyran-3(4H)-ylidene)acetate-13C3
分子式: C₇¹³C₃H₁₆O₆
分子量: 235.21
溶解度: Dichloromethane; Ethyl Acetate; Methanol
种类: Building Blocks; Miscellaneous;
应用: (Z)-Ethyl 2-((2S,4R,5S)-4,5-Dihydroxy-2-methoxydihydro-2H-pyran-3(4H)-ylidene)acetate-13C3 is a by-product intermediate in synthesizing Patulin-13C3 (P206502), a labelled Patulin (PAT). It is a mycotoxin produced by certain species of Penicillium, Aspergillus, and Byssochlamys, is mainly found in ripe apple and apple products. Patulin-induced genotoxicity and modulation of glutathione in Hep G2 cells. Antibiotic.
参考文献


2011-2018 信阳莱耀生物科技有限公司 版权所有

中检所标准品,对照品,标准气体
Keywords: 中检所标准品 对照品 标准气体