欢迎光临:莱耀标准品网!
 您的位置:对照品 > 标准物质 > 计量院标准物质 >
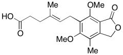
(E)-6-(1,3-Dihydro-4,6-dimethoxy-7-methyl-3-oxo-5-isobenzofuranyl)-4-methyl-4-hexenoic Aci
产品基本信息
产品编号:D446365
产品名称:(E)-6-(1,3-Dihydro-4,6-dimethoxy-7-methyl-3-oxo-5-isobenzofuranyl)-4-methyl-4-hexenoic Aci
产品CAS:38877-93-9
规格含量:50mg
产品价格:面议
联系我们:
产品详细介绍
标准品编号: D446365
名称: (E)-6-(1,3-Dihydro-4,6-dimethoxy-7-methyl-3-oxo-5-isobenzofuranyl)-4-methyl-4-hexenoic Acid
别名: Mycophenolic Acid Analogue;
CAS号: 38877-93-9
分子式: C₁₈H₂₂O₆
外观: 白色至白色固体
熔点: 112-115°C
分子量: 334.36
储存: 冰箱保存
溶解性: Chloroform (Slightly), Ethyl Acetate (Slightly)
种类: Standards; Enzyme Activators and Inhibitors; Pharmaceutical/API Drug Impurities/Metabolites;
应用: (E)-6-(1,3-Dihydro-4,6-dimethoxy-7-methyl-3-oxo-5-isobenzofuranyl)-4-methyl-4-hexenoic Acid, is the Dimethoxy analogue of Mycophenolic Acid (M831500), which is an immunosuppressant drug used to prevent rejection in organ transplantation. A selective inhibitor of lymphocyte proliferation by blocking inosine monophosphate dehydrogenase, an enzyme involved in the de novo synthesis of purine nucleotides.
危险品: Not a dangerous good if item is equal to or less than 1g/ml and there is less than 100g/ml in the package
参考文献


2011-2018 信阳莱耀生物科技有限公司 版权所有

中检所标准品,对照品,标准气体
Keywords: 中检所标准品 对照品 标准气体