您的位置:对照品 > 标准物质 > 计量院标准物质 > |
|
|
|
| 产品基本信息 |
|
| 产品编号:D445950 |
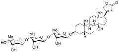
| 产品名称:Digitoxin |
| 产品CAS:71-63-6 |
| 规格含量:25mg |
| 产品价格:面议 |
| 联系我们: |
|
|
|
|
|
| 产品详细介绍 |
| 标准品编号: |
D445950 |
| 名称: |
Digitoxin |
| 别名: |
(3β,5β)-3-[(O-2,6-Dideoxy-β-D-ribo-hexopyranosyl-(1-4)-O-2,6-dideoxy-β-D-ribo-hexopyranosyl-(1-4)-2,6-dideoxy-β-D-ribo-hexopyranosyl)oxyl]-14-hydroxycard-20(22)-enolide; Digitalin; Crystalline; Carditoxin; Digicor; Digimed; Myodigin; |
| CAS号: |
71-63-6 |
| 参考CAS号: |
11054-89-0, 23394-08-3 |
| 分子式: |
C₄₁H₆₄O₁₃ |
| 外观: |
白色固体 |
| 熔点: |
210-214°C |
| 分子量: |
764.94 |
| 储存: |
Hygroscopic, 冰箱保存, Under inert atmosphere |
| 溶解性: |
Acetone (Slightly), Chloroform (Slightly), Methanol (Slightly) |
| 稳定性: |
Hygroscopic |
| 种类: |
Standards; Pharmaceutical/API Drug Impurities/Metabolites; Carbohydrates and Oligosaccharides; |
| 应用: |
Cardiotonic. |
| 危险品: |
Not a dangerous good if item is equal to or less than 1g/ml and there is less than 100g/ml in the package |
| 参考文献 |
|
|
|
|
|
|
|
|