欢迎光临:莱耀标准品网!
 您的位置:对照品 > 标准物质 > 计量院标准物质 >
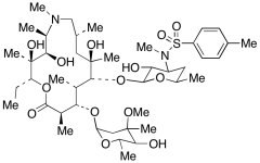
3’-N-Desmethyl-3’-N-tosyl Azithromycin
产品基本信息
产品编号:D291700
产品名称:3’-N-Desmethyl-3’-N-tosyl Azithromycin
产品CAS:612069-31-5
规格含量:10mg
产品价格:面议
联系我们:
产品详细介绍
标准品编号: D291700
名称: 3’-N-Desmethyl-3’-N-tosyl Azithromycin
别名: (2R,3S,4R,5R,8R,10R,11R,12S,13S,14R)-13-[(2,6-Dideoxy-3-C-methyl-3-O-methyl -α-L-ribo-hexopyranosyl)oxy]-2-ethyl-3,4,10-trihydroxy-3,5,6,8,10,12,14-heptamethyl-11-[[3,4,6-trideoxy-3-[methyl[(4-methylphenyl)sulfonyl]amino]-β-D-xylo-hexopyranosyl]oxy]-1-oxa-6-azacyclopentadecan-15-one; Azithromycin EP Impurity G
杂质: Azithromycin EP Impurity G
CAS号: 612069-31-5
分子式: C₄₄H₇₆N₂O₁₄S
外观: 白色至白色固体
熔点: 138-140°C
分子量: 889.14
储存: -20ËšC Freezer
溶解性: Chloroform (Sparingly), DMSO (Slightly), Methanol (Slightly)
种类: Standards; Chiral Molecules; Pharmaceutical/API Drug Impurities/Metabolites;
应用: 3’-N-Desmethyl-3’-N-tosyl Azithromycin (Azithromycin EP Impurity G) is an Azithromycin (A927000) impurity.
参考文献


2011-2018 信阳莱耀生物科技有限公司 @ 信阳埃尔文生物科技有限公司版权所有

中检所标准品,对照品,标准气体
Keywords: 中检所标准品 对照品 标准气体