欢迎光临:莱耀标准品网!
 您的位置:对照品 > 标准物质 > 计量院标准物质 >
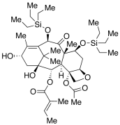
10-Desacetyl-2-desbenzoyl-7,10-bis(O-triethylsilyl)-2-tiglyl Baccatin III
产品基本信息
产品编号:D288445
产品名称:10-Desacetyl-2-desbenzoyl-7,10-bis(O-triethylsilyl)-2-tiglyl Baccatin III
产品CAS:
规格含量:5mg
产品价格:面议
联系我们:
产品详细介绍
标准品编号: D288445
名称: 10-Desacetyl-2-desbenzoyl-7,10-bis(O-triethylsilyl)-2-tiglyl Baccatin III
分子式: C₃₉H₆₆O₁₀Si₂
分子量: 751.11
溶解性: Dichloromethane, Ethyl Acetate
种类: Standards; Pharmaceutical/API Drug Impurities/Metabolites;
应用: Intermediate in the preparation of Docetaxel injection impurities.
参考文献


2011-2018 信阳莱耀生物科技有限公司 @ 信阳埃尔文生物科技有限公司版权所有

中检所标准品,对照品,标准气体
Keywords: 中检所标准品 对照品 标准气体