欢迎光临:莱耀标准品网!
 您的位置:对照品 > 标准物质 > 环保部标准物质 >
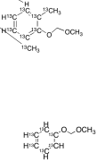
(Methoxymethoxy)benzene-13C6
产品基本信息
产品编号:M318007
产品名称:(Methoxymethoxy)benzene-13C6
产品CAS:
规格含量:25mg
产品价格:面议
联系我们:
产品详细介绍
标准品编号: M318007
名称: (Methoxymethoxy)benzene-13C6
别名: Methoxymethyl phenyl ether-13C6; Methoxyphenoxymethane-13C6; Methyl phenoxymethyl ether-13C6; Phenol methoxymethyl ether-13C6; Phenoxymethoxymethane-13C6
参考CAS号: 824-91-9
分子式: C₂¹³C₆H₁₀O₂
外观: Colorless Oil
分子量: 144.12
溶解度: Dichloromethane; Ether;
种类: Building Blocks; Isotopic Labeled Analogues;
应用: (Methoxymethoxy)benzene-13C6 is an intermediate in the synthesis of 2,6-Dimethylphenol-13C8 (D465859), an isotope labelled analog of 2,6-Dimethylphenol-13C8. Similar to other xylenol compounds, 2,6-dimethylphenol is used in the synthesis of anti-oxidant compounds due to the phenol moiety in the structure. In addition, this compound is used as a a reactant in the synthesis of polyphenylene ether polymers.
参考文献


2011-2018 信阳莱耀生物科技有限公司 版权所有

中检所标准品,对照品,标准气体
Keywords: 中检所标准品 对照品 标准气体