欢迎光临:莱耀标准品网!
 您的位置:对照品 > 标准物质 > 环保部标准物质 >
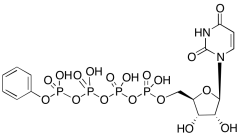
MRS 2768 Tetrasodium Salt
产品基本信息
产品编号:M750218
产品名称:MRS 2768 Tetrasodium Salt
产品CAS:
规格含量:2.5mg
产品价格:面议
联系我们:
产品详细介绍
标准品编号: M750218
名称: MRS 2768 Tetrasodium Salt
别名: Uridine 5'-(pentahydrogen tetraphosphate) P'''-phenyl Ester Tetrasodium Salt
参考CAS号: Free acid: 1047980-83-5
分子式: C₁₅H₁₆N₂Na₄O₁₈P₄
分子量: 728.14
种类: Standards; Chiral Molecules; Molecular Biology; Phosphates; Pharmaceutical/API Drug Impurities/Metabolites;
应用: MRS 2768 Tetrasodium Salt is a salt form of MRS 2768 which can be used in therapeutic use and biological study of protective effect of P2Y2 receptor agonist with enhanced stability on heart from ischemic damage in vitro and in vivo.
参考文献


2011-2018 信阳莱耀生物科技有限公司 版权所有

中检所标准品,对照品,标准气体
Keywords: 中检所标准品 对照品 标准气体