您的位置:对照品 > 标准物质 > 环保部标准物质 > |
|
|
|
| 产品基本信息 |
|
| 产品编号:M542513 |
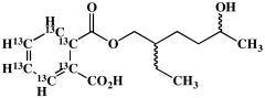
| 产品名称:Mono(2-ethyl-5-hydroxyhexyl) Phthalate-13C6 |
| 产品CAS: |
| 规格含量:2.5mg |
| 产品价格:面议 |
| 联系我们: |
|
|
|
|
|
| 产品详细介绍 |
| 标准品编号: |
M542513 |
| 名称: |
Mono(2-ethyl-5-hydroxyhexyl) Phthalate-13C6 |
| 别名: |
Mono-2-ethyl-5-hydroxyhexyl Phthalate-13C6; 1,2-Benzenedicarboxylic Acid-13C6 Mono(2-ethyl-5-hydroxyhexyl) Ester-13C6; 1,2-Benzenedicarboxylic Acid-13C6; 1-(2-Ethyl-5-hydroxyhexyl) Ester-13C6; 5-OH-MEHP-13C6; MEHHP-13C6; |
| 参考CAS号: |
40321-99-1 unlabelled |
| 分子式: |
C₁₀¹³C₆H₂₂O₅ |
| 外观: |
未标明外观 |
| 熔点: |
未标明外观 |
| 分子量: |
300.3 |
| 溶解度: |
未标明外观 |
| 种类: |
Standards; Pharmaceutical/API Drug Impurities/Metabolites; Environmental Standards, Mutagens and Metabolites; |
| 应用: |
Isotope labelled Phthalate metabolite. |
| 参考文献 |
|
|
|
|
|
|
|
|