欢迎光临:莱耀标准品网!
 您的位置:对照品 > 标准物质 > 环保部标准物质 >
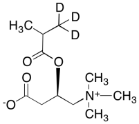
Isobutryl Carnitine D3
产品基本信息
产品编号:I779027
产品名称:Isobutryl Carnitine D3
产品CAS:
规格含量:5mg
产品价格:面议
联系我们:
产品详细介绍
标准品编号: I779027
名称: Isobutryl Carnitine D3
参考CAS号: 25518-49-4
分子式: C₁₁H₁₈D₃NO₄
分子量: 234.31
种类: Standards; Chiral Molecules; Isotopic Labeled Analogues; Pharmaceutical/API Drug Impurities/Metabolites;
应用: Isobutryl Carnitine D3 is labelled Isobutyryl Carnitine (CAS : 25518-49-4). Isobutyryl Carnitine (CAS : 25518-49-4) is a research reagent used in detection of early diabetes in rat kidney using mass spectrometry imaging.
参考文献


2011-2018 信阳莱耀生物科技有限公司 版权所有

中检所标准品,对照品,标准气体
Keywords: 中检所标准品 对照品 标准气体