欢迎光临:莱耀标准品网!
 您的位置:对照品 > 标准物质 > 环保部标准物质 >
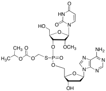
Inarigivir Soproxil
产品基本信息
产品编号:I627015
产品名称:Inarigivir Soproxil
产品CAS:942123-43-5
规格含量:5mg
产品价格:面议
联系我们:
产品详细介绍
标准品编号: I627015
名称: Inarigivir Soproxil
别名: 2'-O-Methyl-P(S)-[[[(1-methylethoxy)carbonyl]oxy]methyl]-P-thiouridylyl-(3'→5')-2'-deoxyadenosine; SB 44 (dinucleotide); SB 9200
CAS号: 942123-43-5
分子式: C₂₅H₃₄N₇O₁₃PS
分子量: 703.62
种类: Standards; Anti-virals/Anti-retrovirals;
应用: Inarigivir soproxil, has a broad-spectrum antiviral activity against RNA viruses including hepatitis C virus (HCV), norovirus, respiratory syncytial virus and influenza and has demonstrated activity against hepatitis B virus (HBV) in vitro and in vivo.
参考文献


2011-2018 信阳莱耀生物科技有限公司 版权所有

中检所标准品,对照品,标准气体
Keywords: 中检所标准品 对照品 标准气体