欢迎光临:莱耀标准品网!
 您的位置:对照品 > 标准物质 > 环保部标准物质 >
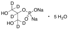
β-Glycerol-d5 Phosphate Disodium Salt Pentahydrate
产品基本信息
产品编号:G598452
产品名称:β-Glycerol-d5 Phosphate Disodium Salt Pentahydrate
产品CAS:
规格含量:5mg
产品价格:面议
联系我们:
产品详细介绍
标准品编号: G598452
名称: β-Glycerol-d5 Phosphate Disodium Salt Pentahydrate
别名: 2-(Dihydrogen phosphate) 1,2,3-Propanetriol-d5 Sodium Salt Pentahydate; Sodium β-glycerophosphate-d5 pentahydrate
参考CAS号: 13408-09-8 unlabelled
分子式: C₃H₁₂D₅Na₂O₁₀P
分子量: 295.15
种类: Standards; Isotopic Labeled Analogues; Pharmaceutical/API Drug Impurities/Metabolites;
应用: β-Glycerol Phosphate (G598450, pentahydrate) was shown to have promoted mineralization in vitro by modulating bone cell metabolic activity and/or serving as a local source of inorganic phosphate ions.
参考文献


2011-2018 信阳莱耀生物科技有限公司 版权所有

中检所标准品,对照品,标准气体
Keywords: 中检所标准品 对照品 标准气体