欢迎光临:莱耀标准品网!
 您的位置:对照品 > 标准物质 > 环保部标准物质 >
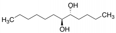
Erythro-5,6-dodecanediol
产品基本信息
产品编号:E615313
产品名称:Erythro-5,6-dodecanediol
产品CAS:70859-32-4
规格含量:2mg
产品价格:面议
联系我们:
产品详细介绍
标准品编号: E615313
名称: Erythro-5,6-dodecanediol
CAS号: 70859-32-4
分子式: C₁₂H₂₆O₂
分子量: 202.33
种类: Building Blocks; Miscellaneous;
应用: ERYTHRO-5,6-DODECANEDIOL (cas# 70859-32-4) is a useful research chemical.
参考文献


2011-2018 信阳莱耀生物科技有限公司 版权所有

中检所标准品,对照品,标准气体
Keywords: 中检所标准品 对照品 标准气体