欢迎光临:莱耀标准品网!
 您的位置:对照品 > 标准物质 > 环保部标准物质 >
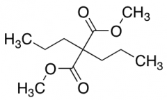
Dimethyl 2,2-Dipropylmalonate
产品基本信息
产品编号:D483120
产品名称:Dimethyl 2,2-Dipropylmalonate
产品CAS:16644-05-6
规格含量:50mg
产品价格:面议
联系我们:
产品详细介绍
标准品编号: D483120
名称: Dimethyl 2,2-Dipropylmalonate
CAS号: 16644-05-6
分子式: C₁₁H₂₀O₄
分子量: 216.27
种类: Building Blocks; Miscellaneous;
应用: Dimethyl 2,2-Dipropylmalonate (cas# 16644-05-6) is a useful research chemical.
参考文献


2011-2018 信阳莱耀生物科技有限公司 版权所有

中检所标准品,对照品,标准气体
Keywords: 中检所标准品 对照品 标准气体