欢迎光临:莱耀标准品网!
 您的位置:对照品 > 标准物质 > 环保部标准物质 >
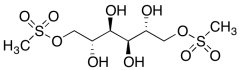
1,6-Dimethanesulfonate-D-mannitol
产品基本信息
产品编号:D478945
产品名称:1,6-Dimethanesulfonate-D-mannitol
产品CAS:1187-00-4
规格含量:250mg
产品价格:面议
联系我们:
产品详细介绍
标准品编号: D478945
名称: 1,6-Dimethanesulfonate-D-mannitol
别名: 1,6-Bis(methanesulfonyl)-D-mannitol; 1,6-Dimesyl-D-mannitol; 1,6-Dimethanesulfonyl-D-mannitol; 1,6-Dimethanesulfonyloxy-1,6-dideoxy-D-mannitol; Busulfan Mannitol; D-Mannitol Busulfan; D-Mannitol Busulphan; Mannitol Myleran; Mannitol Busulfan; Mannogranol;
CAS号: 1187-00-4
分子式: C₈H₁₈O₁₀S₂
分子量: 338.35
种类: Standards; Pharmaceutical/API Drug Impurities/Metabolites; Carbohydrates and Oligosaccharides;
应用: 1,6-Dimethanesulfonate-D-mannitol is a reagent used in the preparation of pharmaceutical compounds for tumor diagnosis and treatment.
参考文献


2011-2018 信阳莱耀生物科技有限公司 版权所有

中检所标准品,对照品,标准气体
Keywords: 中检所标准品 对照品 标准气体