欢迎光临:莱耀标准品网!
 您的位置:对照品 > 标准物质 > 环保部标准物质 >
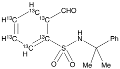
N-(α,α-Dimethylbenzyl)-2-formyl-benzenesulfonamide-13C6
产品基本信息
产品编号:D464837
产品名称:N-(α,α-Dimethylbenzyl)-2-formyl-benzenesulfonamide-13C6
产品CAS:
规格含量:10mg
产品价格:面议
联系我们:
产品详细介绍
标准品编号: D464837
名称: N-(α,α-Dimethylbenzyl)-2-formyl-benzenesulfonamide-13C6
别名: 2-Formyl-N-(1-methyl-1-phenylethyl)benzenesulfonamide-13C6
参考CAS号: 936841-21-3 -未标记
分子式: C₁₀¹³C₆H₁₇NO₃S
外观: 白色固体
分子量: 309.33
溶解性: Chloroform, Dichloromethane, Tetrahydrofuran
种类: Building Blocks; Isotopic Labeled Analogues; Pharmaceutical/API Drug Impurities/Metabolites;
应用: N-(α,α-Dimethylbenzyl)-2-formyl-benzenesulfonamide-13C6 is a reactant used in the preparation of labelled Saccharin (S080802), a non-nutritive sweetener
参考文献


2011-2018 信阳莱耀生物科技有限公司 版权所有

中检所标准品,对照品,标准气体
Keywords: 中检所标准品 对照品 标准气体