欢迎光临:莱耀标准品网!
 您的位置:对照品 > 标准物质 > 环保部标准物质 >
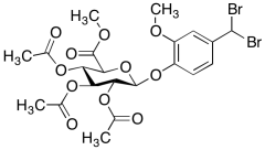
2-(4-(Dibromomethyl)-2-methoxyphenyl β-D-Glucopyranosiduronic Acid Triacetate Met
产品基本信息
产品编号:D426565
产品名称:2-(4-(Dibromomethyl)-2-methoxyphenyl β-D-Glucopyranosiduronic Acid Triacetate Met
产品CAS:
规格含量:10mg
产品价格:面议
联系我们:
产品详细介绍
标准品编号: D426565
名称: 2-(4-(Dibromomethyl)-2-methoxyphenyl β-D-Glucopyranosiduronic Acid Triacetate Methyl Ester
分子式: C₂₁H₂₄Br₂O₁₁
分子量: 612.22
种类: Standards; Pharmaceutical/API Drug Impurities/Metabolites;
应用: 2-(4-(Dibromomethyl)-2-methoxyphenyl β-D-Glucopyranosiduronic Acid Triacetate Methyl Ester is an intermediate used in the synthesis of Curcumin β-D-Glucuronide-d3 (C838512), which is labelled analogue of Curcumin β-D-Glucuronide, a metabolite of Curcumin (C838510) in hepatic tissue and portal blood.
参考文献


2011-2018 信阳莱耀生物科技有限公司 版权所有

中检所标准品,对照品,标准气体
Keywords: 中检所标准品 对照品 标准气体