欢迎光临:莱耀标准品网!
 您的位置:对照品 > 标准物质 > 环保部标准物质 >
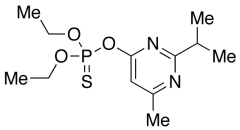
Diazinon
产品基本信息
产品编号:D416880
产品名称:Diazinon
产品CAS:333-41-5
规格含量:1g
产品价格:面议
联系我们:
产品详细介绍
标准品编号: D416880
名称: Diazinon
别名: O,O-Diethyl O-(2-isopropyl-6-methyl-4-pyrimidinyl) phosphorothioate; NSC 8938; Oleodiazinon; Phosphorothioc Acid O,O-Diethyl O-[6-Methyl-2-(1-methylethyl)-4-pyrimidinyl] Ester;
CAS号: 333-41-5
分子式: C₁₂H₂₁N₂O₃PS
外观: Clear Colourless to Yellow Oil
熔点: N/A
分子量: 304.35
储存: Hygroscopic, 冰箱保存, Under inert atmosphere
溶解性: Chloroform (Slightly), Ethyl Acetate (Slightly)
稳定性: Moisture Sensitive
种类: Research Tools; Enzyme Activators and Inhibitors; Pharmaceutical/API Drug Impurities/Metabolites;
应用: A cholinesterase inhibitor; a nonsystemic organophosphate insecticide. This compound is a contaminant of emerging concern (CECs). Used as a standard for Pesticide detection. Diazinon is useful in cannabis testing kits as a component of pesticide mixes (P698230).
危险品: Not a dangerous good if item is equal to or less than 1g/ml and there is less than 100g/ml in the package
参考文献


2011-2018 信阳莱耀生物科技有限公司 @ 信阳埃尔文生物科技有限公司版权所有

中检所标准品,对照品,标准气体
Keywords: 中检所标准品 对照品 标准气体