您的位置:对照品 > 标准物质 > 环保部标准物质 > |
|
|
|
| 产品基本信息 |
|
| 产品编号:D232593 |
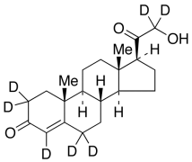
| 产品名称:11-Deoxy Corticosterone-d7 |
| 产品CAS: |
| 规格含量:10mg |
| 产品价格:面议 |
| 联系我们: |
|
|
|
|
|
| 产品详细介绍 |
| 标准品编号: |
D232593 |
| 名称: |
11-Deoxy Corticosterone-d7 |
| 别名: |
21-Hydroxypregn-4-ene-3,20-dione-d7; 11-Deoxycorticosterone-d7; 11-Dehydroxy-corticosterone-d7; 11-Desoxycorticosterone-d7; 21-Hydroxy-3,20-dioxopregn-4-ene-d7; 21-Hydroxy-4-pregnane-3,20-dione-d7; 21-Hydroxyprogesterone-d7; Cortexone-d7; DOC-d7; Deoxycortone-d7; Desoxycorticosterone-d7; Desoxycortone-d7; NSC 11319-d7; 4-Pregnene-21-ol-3,20-dione-d7; |
| 参考CAS号: |
64-85-7-未标记 |
| 分子式: |
C₂₁H₂₃D₇O₃ |
| 外观: |
白色至白色固体 |
| 熔点: |
129-133°C |
| 分子量: |
337.5 |
| 储存: |
冰箱保存 |
| 溶解性: |
Chloroform (Slightly), Methanol (Slightly) |
| 种类: |
Standards; Steroids; Isotopic Labeled Analogues; Pharmaceutical/API Drug Impurities/Metabolites; |
| 应用: |
Labelled Deoxycorticosterone. A mineralocorticoid that occurs in adrenal cortex. It acts as a precursor to Aldosterone (A514700). |
| 参考文献 |
|
|
|
|
|
|
|
|