欢迎光临:莱耀标准品网!
 您的位置:对照品 > 标准物质 > 环保部标准物质 >
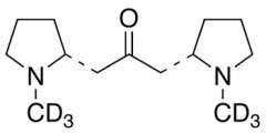
Cuscohygrine-d6 (Mixture of Diastereomers)
产品基本信息
产品编号:C845002
产品名称:Cuscohygrine-d6 (Mixture of Diastereomers)
产品CAS:1292907-65-3
规格含量:10mg
产品价格:面议
联系我们:
产品详细介绍
标准品编号: C845002
名称: Cuscohygrine-d6 (Mixture of Diastereomers)
别名: rel-1-[(2R)-1-(Methyl-d3)-2-pyrrolidinyl]-3-[(2S)-1-(methyl-d3)-2-pyrrolidinyl]-2-propanone; (R*,S*)-1,3-Bis[1-(methyl-d3)-2-pyrrolidinyl]-2-propanone; Bellaradin-d6; Bellaradine-d6; Cuskhygrin-d6; Cuskhygrine-d6; meso-Cuscohygrine-d6;
CAS号: 1292907-65-3
参考CAS: 454-14-8-未标记
分子式: C₁₃H₁₈D₆N₂O
外观: Clear Colourless to Yellow Oil
熔点: N/A
分子量: 230.38
储存: -20ËšC Freezer
溶解度: Chloroform, Ethyl Acetate, Methanol
稳定性: Solutions are unstable.
类别: Standards; Chiral Molecules; Isotopic Labeled Analogues;
应用: Labelled Cuscohygrine. It was the main alkaloid found in medicinal plants Datura metel.
参考文献


2011-2018 信阳莱耀生物科技有限公司 @ 信阳埃尔文生物科技有限公司版权所有

中检所标准品,对照品,标准气体
Keywords: 中检所标准品 对照品 标准气体