欢迎光临:莱耀标准品网!
 您的位置:对照品 > 标准物质 > 标准样品 >
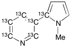
β-Nicotyrine-13C6
产品基本信息
产品编号:N445003
产品名称:β-Nicotyrine-13C6
产品CAS:
规格含量:5mg
产品价格:面议
联系我们:
产品详细介绍
标准品编号: N445003
名称: β-Nicotyrine-13C6
别名: 3-(1-Methyl-1H-pyrrol-2-yl)pyridine-13C6; 3-(1-Methylpyrrol-2-yl)pyridine-13C6; Nicotyrine-13C6; 3,2'-Nicotyrine-13C6; NSC 127943-13C6; NSC 407276-13C6;
参考CAS号: Unlabelled: 487-19-4
分子式: C₄¹³C₆H₆N₂
分子量: 160.12
种类: Standards; Isotopic Labeled Analogues; Environmental Standards, Mutagens and Metabolites; Nicotine Derivatives and Metabolites;
应用: β-Nicotyrine-13C6, is the labeled analogue of β-Nicotyrine (N445002), which is an alkaloid derived from the dehydrogenation of nicotine and its analog, nornicotine. It is also an alkaloid occurring in cigaret smoke.
参考文献


2011-2018 信阳莱耀生物科技有限公司 版权所有

中检所标准品,对照品,标准气体
Keywords: 中检所标准品 对照品 标准气体