欢迎光临:莱耀标准品网!
 您的位置:对照品 > 标准物质 > 标准样品 >
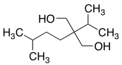
2-Isopentyl-2-isopropylpropane-1,3-diol
产品基本信息
产品编号:I779270
产品名称:2-Isopentyl-2-isopropylpropane-1,3-diol
产品CAS:129228-29-1
规格含量:50mg
产品价格:面议
联系我们:
产品详细介绍
标准品编号: I779270
名称: 2-Isopentyl-2-isopropylpropane-1,3-diol
CAS号: 129228-29-1
分子式: C₁₁H₂₄O₂
分子量: 188.31
种类: Building Blocks; Miscellaneous;
应用: 2-ISOPENTYL-2-ISOPROPYLPROPANE-1,3-DIOL (cas# 129228-29-1) is a useful research chemical.
参考文献


2011-2018 信阳莱耀生物科技有限公司 版权所有

中检所标准品,对照品,标准气体
Keywords: 中检所标准品 对照品 标准气体