欢迎光临:莱耀标准品网!
 您的位置:对照品 > 标准物质 > 标准样品 >
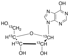
(-)-Inosine-1',2',3',4',5'-13C5
产品基本信息
产品编号:I661003
产品名称:(-)-Inosine-1',2',3',4',5'-13C5
产品CAS:
规格含量:10mg
产品价格:面议
联系我们:
产品详细介绍
标准品编号: I661003
名称: (-)-Inosine-1',2',3',4',5'-13C5
别名: 1,9-Dihydro-9-β-D-ribofuranosyl-6H-purin-6-one-1',2',3',4',5'-13C5; 9-β-D-Ribofuranosylhypoxanthine-1',2',3',4',5'-13C5; Hypoxanthine 9-β-D-ribofuranoside-1',2',3',4',5'-13C5; Hypoxanthine Ribonucleoside-1',2',3',4',5'-13C5; Hypoxanthine Riboside-1',2',3',4',5'-13C5;
参考CAS号: Unlabelled:58-63-9
分子式: C₅¹³C₅H₁₂N₄O₅
外观: 白色至白色固体
分子量: 273.19
储存: Hygroscopic, -20°C Freezer, Under inert atmosphere
溶解度: Methanol (Slightly), Water (Slightly)
稳定性: Hygroscopic
种类: Standards; Chiral Molecules; Isotopic Labeled Analogues; Pharmaceutical/API Drug Impurities/Metabolites; Carbohydrates and Oligosaccharides;
应用: Isotope labelled analogue of (-)-Inosine (I661000), compound that exhibits neuroprotective properties by improving axonal wiring and has also been used to treat stroke patients to restore neural function.
参考文献


2011-2018 信阳莱耀生物科技有限公司 版权所有

中检所标准品,对照品,标准气体
Keywords: 中检所标准品 对照品 标准气体