欢迎光临:莱耀标准品网!
 您的位置:对照品 > 标准物质 > 标准样品 >
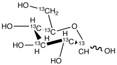
D-Glucose-13C6
产品基本信息
产品编号:G595002
产品名称:D-Glucose-13C6
产品CAS:110187-42-3
规格含量:250mg
产品价格:面议
联系我们:
产品详细介绍
标准品编号: G595002
名称: D-Glucose-13C6
别名: D-Glucopyranose-13C6; Glucopyranose-13C6; NSC 287045-13C6;
CAS号: 110187-42-3
参考CAS号: 2280-44-6-unlabelled /open conformation: 50-99-7
分子式: ¹³C₆H₁₂O₆
外观: 白色固体
熔点: 144 - 155°C
分子量: 186.11
储存: 冰箱
溶解度: Methanol (Slightly, Sonicated), Water (Slightly, Sonicated)
种类: Standards; Isotopic Labeled Analogues; Carbohydrates and Oligosaccharides;
应用: Labelled D-Glucose is a simple sugar that is present in plants. A monosaccharide that may exist in open chain or cyclic conformation if in solution. It plays a vital role in photosynthesis and fuels the energy required for cellular respiration. D-Glucose is used in various metabolic processes including enzymic synthesis of cyclohexyl-α and β-D-glucosides. Can also be used as a diagnostic tool in detection of type 2 diabetes mellitus and potentially Huntington's disease through analysis of blood-glucose in type 1 diabetes mellitus.
参考文献


2011-2018 信阳莱耀生物科技有限公司 版权所有

中检所标准品,对照品,标准气体
Keywords: 中检所标准品 对照品 标准气体